티스토리 뷰
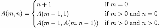
계산 가능성 이론에 따르면 아커만 함수는 빌헬름 아커만(Wilhelm Ackermann)의 이름을 딴 함수로, 가장 간단하고 먼저 발견된 완전 계산 가능(total computable function) 함수이며 비원시 귀납 함수(not primitive recursive function)이다. 모든 원시 귀납 함수는 완전(total)하고 계산 가능하지만, 아커만 함수는 모든 완전 계산 가능 함수가 원시 재귀 함수는 아니라는 것을 설명한다. 아커만의 발표 이후, 3개의 음수가 아닌 정수를 인자로 갖는 아커만 함수에 대해 많은 사람들이 다양한 목적으로 변형했다. 흔한 예정 하나로는 두 개의 인자를 갖는 아커만 피터 함수(Ackermann-Peter function)이 있는데 음수가 아닌 두 정수 m과 n에 대해 아래와 같이 정의한다.
아커만 함수의 극도로 깊은 재귀 성질 때문에 컴파일러의 재귀 최적화 성능 벤치마크를 측정하는 데 사용된다.

직접 숫자를 대입해보면 아래와 같다.

참조
- https://en.wikipedia.org/wiki/Ackermann_function
반응형
'기술(Tech, IT) > etc.' 카테고리의 다른 글
| [Tech, etc] Python vs Python3 (0) | 2022.06.13 |
|---|---|
| [Tech, etc] Primitive recursive function(원시 재귀 함수) (0) | 2022.05.04 |
| [Tech, etc.] NP-complete problem(비결정 완전 문제) (0) | 2021.09.22 |
| [Tech, etc.] Architectural smell (0) | 2021.09.21 |
| [etc.] Platform-based design (0) | 2021.09.12 |
공지사항
최근에 올라온 글
최근에 달린 댓글
- Total
- Today
- Yesterday
링크
TAG
- ml
- Hash Map
- java
- 딕셔너리
- The Economist Espresso
- 안드로이드
- min heap
- I2C
- tf-idf
- Computer Graphics
- vertex shader
- 투 포인터
- defaultdict
- join
- 이코노미스트
- Python
- 머신 러닝
- machine learning
- leetcode
- 파이썬
- DICTIONARY
- 이코노미스트 에스프레소
- 오블완
- 티스토리챌린지
- 소켓 프로그래밍
- 리트코드
- C++
- Android
- socket programming
- The Economist
| 일 | 월 | 화 | 수 | 목 | 금 | 토 |
|---|---|---|---|---|---|---|
| 1 | 2 | 3 | ||||
| 4 | 5 | 6 | 7 | 8 | 9 | 10 |
| 11 | 12 | 13 | 14 | 15 | 16 | 17 |
| 18 | 19 | 20 | 21 | 22 | 23 | 24 |
| 25 | 26 | 27 | 28 | 29 | 30 | 31 |
글 보관함
반응형
